We know that math is a science of precision. Can we say the same about GeoGebra, an interactive math learning software? Let's analyze the project source code using PVS-Studio!

Do you remember how you learned computer science at university? All these matrix and vector multiplications, polynomial equations, interpolation, extrapolation... What if we look at these scary formulas in a real project, rather than in another lab report? What if we dig for issues in such a code base? I suggest running PVS-Studio and dusting off math textbooks. Why textbooks? Let me show you.
One of the main challenges in examining the source code of such programs is to understand what's going on. When reviewing the analyzer report, we've had questions whether the warnings indicate real issues.
Let's take a look at the following fragment:
@Override
public void compute() {
....
if (cumulative != null && cumulative.getBoolean()) {
....
} else {
....
branchAtoMode = fv.wrap().subtract(a).multiplyR(2)
.divide(bEn.subtract(a).multiply(modeEn.subtract(a)));
branchModeToB = fv.wrap().subtract(b).multiplyR(2)
.divide(bEn.subtract(a).multiply(modeEn.subtract(b)));
rightBranch = new MyDouble(kernel, 0);
}
....
}
We get the following PVS-Studio warning:
V6072 Two similar code fragments were found. Perhaps, this is a typo and 'b' variable should be used instead of 'a'. AlgoTriangularDF.java 145, AlgoTriangularDF.java 146, AlgoTriangularDF.java 147, AlgoTriangularDF.java 148
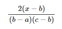
Is it really a typo? After a quick research, and once we found the right formula, we can say that everything is written correctly.
The code fragment evaluates the triangular distribution, i.e. the probability density function (PDF) for this distribution. We found the formula:

Now let's go through the code.
Here, fv is a function variable. wrap returns wrapper, and then the necessary mathematical operations are performed. It's interesting to note that there are both multiply and multiplyR methods. In the second method, R stands for right and swaps operands, as multiplication is not always commutative.
So, the second expression result is written to branchAToMode, and the fourth expression is written to branchModeToB.
We also noticed that in branchModeToB, the signs for the numerator and denominator have been changed. We get the following expression:

The expression value didn't change.
So, we refreshed our mathematical knowledge to understand some of the warnings we received. It's not hard to identify if there is a real error in the code, but it's hard to understand what it's supposed to be here instead.
Let's start simple and look at the following method:
private void updateSide(int index, int newBottomPointsLength) {
....
GeoSegmentND[] s = new GeoSegmentND[4];
GeoSegmentND segmentBottom = outputSegmentsBottom.getElement(index);
s[0] = segmentBottom;
s[1] = segmentSide1;
s[2] = segmentSide2;
s[2] = segmentSide3;
polygon.setSegments(s);
polygon.calcArea();
}
We see that someone has forgotten to replace s[2] with s[3]. The last line effect is in all its brilliance. It's the legendary and all-too-common copy-paste error. As a result, the fourth array item is missing and is null!
V6033 An item with the same key '2' has already been changed. AlgoPolyhedronNetPrism.java 376, AlgoPolyhedronNetPrism.java 377
Now try to spot the issue in the following code snippet:
static synchronized HashMap<String, String> getGeogebraMap() {
....
geogebraMap.put("−", "-");
geogebraMap.put("⊥", "# ");
geogebraMap.put("∼", "~ ");
geogebraMap.put("′", "# ");
geogebraMap.put("≤", Unicode.LESS_EQUAL + "");
geogebraMap.put("≥", Unicode.GREATER_EQUAL + "");
geogebraMap.put("∞", Unicode.INFINITY + "");
....
geogebraMap.put("∏", "# ");
geogebraMap.put("∏", "# ");
geogebraMap.put("〉", "# ");
geogebraMap.put("⟩", "# ");
geogebraMap.put("→", "# ");
geogebraMap.put("⇒", "# ");
geogebraMap.put("⟩", "# ");
geogebraMap.put("→", "# ");
geogebraMap.put("⇒", "# ");
geogebraMap.put("→", "# ");
geogebraMap.put("⋅", "* ");
geogebraMap.put("∼", "# ");
geogebraMap.put("∝", "# ");
geogebraMap.put("∝", "# ");
geogebraMap.put("∝", "# ");
geogebraMap.put("⊂", "# ");
....
return geogebraMap;
}
What a magnificent view! It's a joy to read, and this is only a small part because this method starts on line 66 and ends on the 404th. The analyzer issues 50 warnings of the V6033 type. Let's take a quick look at one of these warnings:
V6033 An item with the same key '"∼"' has already been added. MathMLParser.java 229, MathMLParser.java 355
Let's remove the superfluous fragments and look at the expressions referred to the warning:
geogebraMap.put("∼", "~ ");
....
geogebraMap.put("∼", "# ");
It's interesting, though. What is the spacing between the method calls? There are 126 lines. Well, good luck finding such an error by hand!
Most are duplicates in key and value. However, a few cases are similar to the example above, where developers overwrite the value with a different one. Which one should we use?
@Override
protected boolean updateForItSelf() {
....
if (conic.getType() == GeoConicNDConstants.CONIC_SINGLE_POINT) {
....
} else {
if (visible != Visible.FRUSTUM_INSIDE) {
....
switch (conic.getType()) {
case GeoConicNDConstants.CONIC_CIRCLE:
updateEllipse(brush); // <=
break;
case GeoConicNDConstants.CONIC_ELLIPSE:
updateEllipse(brush); // <=
break;
case GeoConicNDConstants.CONIC_HYPERBOLA:
updateHyperbola(brush);
break;
case GeoConicNDConstants.CONIC_PARABOLA:
updateParabola(brush);
break;
case GeoConicNDConstants.CONIC_DOUBLE_LINE:
createTmpCoordsIfNeeded();
brush.segment(tmpCoords1.setAdd3(m, tmpCoords1.setMul3(d, minmax[0])),
tmpCoords2.setAdd3(m, tmpCoords2.setMul3(d, minmax[1])));
break;
case GeoConicNDConstants.CONIC_INTERSECTING_LINES:
case GeoConicNDConstants.CONIC_PARALLEL_LINES:
updateLines(brush);
break;
default:
break;
}
}
}
}
The method for the ellipse is called for both the ellipse and the circle. Indeed, we can assume that this is okay because a circle is also an ellipse. However, the class also has the updateCircle method. What's it supposed to be, then? Let's dive into it a little deeper.
Everything takes place in the DrawConic3D class. Here are the methods for the ellipse and the circle:
protected void updateCircle(PlotterBrush brush) {
if (visible == Visible.CENTER_OUTSIDE) {
longitude = brush.calcArcLongitudesNeeded(e1, alpha,
getView3D().getScale());
brush.arc(m, ev1, ev2, e1, beta - alpha, 2 * alpha, longitude);
} else {
longitude = brush.calcArcLongitudesNeeded(e1, Math.PI,
getView3D().getScale());
brush.circle(m, ev1, ev2, e1, longitude);
}
}
protected void updateEllipse(PlotterBrush brush) {
if (visible == Visible.CENTER_OUTSIDE) {
brush.arcEllipse(m, ev1, ev2, e1, e2, beta - alpha, 2 * alpha);
} else {
brush.arcEllipse(m, ev1, ev2, e1, e2, 0, 2 * Math.PI);
}
}
Well... It doesn't give that much confidence. The method bodies are different, but nothing here indicates that we risk displaying unacceptable geometric objects if the method is called incorrectly.
Could there be other clues? A whole single one! The updateCircle method is never used in the project. Meanwhile, updateEllipse is used four times: twice in the first fragment and then twice in DrawConicSection3D, the inheritor class of DrawConic3D:
@Override
protected void updateCircle(PlotterBrush brush) {
updateEllipse(brush);
}
@Override
protected void updateEllipse(PlotterBrush brush) {
// ....
} else {
super.updateEllipse(brush);
}
}
This updateCircle isn't used, either. So, updateEllipse only has a call in its own override and in the fragment where we first found updateForItSelf. In schematic form, the structure looks like as follows:

On the one hand, it seems that the developers wanted to use the all-purpose updateEllipse method to draw a circle. On the other hand, it's a bit strange that DrawConicSection3D has the updateCircle method that calls updateEllipse. However, updateCircle will never be called.
It's hard to guess what the fixed code may look like if the error is actually in the code. For example, if updateCircle needs to call updateEllipse in DrawConicSection3D, but DrawConic3D needs a more optimized algorithm for the circle, the fixed scheme might look like this:

So, it seems that developers once wrote updateCircle and then lost it, and we may have found its intended "home". Looks like we have discovered the ruins of the refactoring after which the developers forgot about the "homeless" method. In any case, it's worth rewriting this code to make it clearer so that we don't end up with so many questions.
All these questions have arisen because of the PVS-Studio warning. That's the warning, by the way:
V6067 Two or more case-branches perform the same actions. DrawConic3D.java 212, DrawConic3D.java 215
private void updateOrdering(GeoElement geo, ObjectMovement movement) {
....
switch (movement) {
....
case FRONT:
....
if (index == firstIndex) {
if (index != 0) {
geo.setOrdering(orderingDepthMidpoint(index));
}
else {
geo.setOrdering(drawingOrder.get(index - 1).getOrdering() - 1);
}
}
....
}
....
}
We get the following warning:
V6025 Index 'index - 1' is out of bounds. LayerManager.java 393
This is curious because, in the else block, the index variable is guaranteed to get the value 0. So, we pass -1 as an argument to the get method. What's the result? We catch an IndexOutOfBoundsException.
@Override
protected int getGLType(Type type) {
switch (type) {
case TRIANGLE_STRIP:
return GL.GL_TRIANGLE_STRIP;
case TRIANGLE_FAN:
return GL.GL_TRIANGLE_STRIP; // <=
case TRIANGLES:
return GL.GL_TRIANGLES;
case LINE_LOOP:
return GL.GL_LINE_LOOP;
case LINE_STRIP:
return GL.GL_LINE_STRIP;
}
return 0;
}
The code is new, but the error is already well-known. It's quite obvious that GL.GL_TRIANGLE_STRIP should be GL.GL_TRIANGLE_FAN instead. The methods may be similar in some ways, but the results are different. You can read about it under the spoiler.
V6067 Two or more case-branches perform the same actions. RendererImplShadersD.java 243, RendererImplShadersD.java 245
To describe a series of triangles, we need to save the coordinates of the three vertices of each triangle. Thus, given N triangles, we need the saved 3N vertices. If we describe a polyhedral object using a polygon mesh, it's important to know if the triangles are connected. If they are, we can use the Triangle Strip or the Triangle Fan to describe the set of triangles using N + 2 vertices.
We note that the Triangle Fan has been removed in Direct3D 10. In OpenGL 4.6, this primitive still exists.
The Triangle Fan uses one center vertex as common, as well as the last vertex and the new vertex. Look at the following example:

To describe it, we'd need the entry (A, B, C, D, E, F, G). There are five triangles and seven vertices in the entry.
The Triangle Strip uses the last two vertices and a new one. For instance, we can create the image below using the same sequence of vertices:

Therefore, if we use the wrong primitive, we'll get dramatically different results.
public static void addToJsObject(
JsPropertyMap<Object> jsMap, Map<String, Object> map) {
for (Entry<String, Object> entry : map.entrySet()) {
Object object = entry.getValue();
if (object instanceof Integer) {
jsMap.set(entry.getKey(), unbox((Integer) object));
} if (object instanceof String[]) { // <=
JsArray<String> clean = JsArray.of();
for (String s: (String[]) object) {
clean.push(s);
}
jsMap.set(entry.getKey(), clean);
} else { // <=
jsMap.set(entry.getKey(), object); // <=
}
}
}
If we don't look closely, we may not notice the issue right away. However, let's speed up and just check the analyzer message.
V6086 Suspicious code formatting. 'else' keyword is probably missing. ScriptManagerW.java 209
Finally, a more interesting bug is here. The object instanceof String[] check will occur regardless of the result of object instanceof Integer. It may not be a big deal, but there's also the else block that will be executed after a failed check for String[]. As the result, the jsMap value by entry.getKey() will be overwritten if the object was Integer.
There's another similar case, but the potential consequences are a little harder to understand:
public void bkspCharacter(EditorState editorState) {
int currentOffset = editorState.getCurrentOffsetOrSelection();
if (currentOffset > 0) {
MathComponent prev = editorState.getCurrentField()
.getArgument(currentOffset - 1);
if (prev instanceof MathArray) {
MathArray parent = (MathArray) prev;
extendBrackets(parent, editorState);
} if (prev instanceof MathFunction) { // <=
bkspLastFunctionArg((MathFunction) prev, editorState);
} else { // <=
deleteSingleArg(editorState);
}
} else {
RemoveContainer.withBackspace(editorState);
}
}
V6086 Suspicious code formatting. 'else' keyword is probably missing. InputController.java 854
Do you often have to write many repetitious checks? Are these checks prone to typos? Let's look at the following method:
public boolean contains(BoundingBox other) {
return !(isNull() || other.isNull()) && other.minx >= minx
&& other.maxy <= maxx && other.miny >= miny
&& other.maxy <= maxy;
}
V6045 Possible misprint in expression 'other.maxy <= maxx'. BoundingBox.java 139
We find a typo, we fix it. The answer is simple, there should be other.maxx <= maxx.
public PointDt[] calcVoronoiCell(TriangleDt triangle, PointDt p) {
....
// find the neighbor triangle
if (!halfplane.next_12().isHalfplane()) {
neighbor = halfplane.next_12();
} else if (!halfplane.next_23().isHalfplane()) {
neighbor = halfplane.next_23();
} else if (!halfplane.next_23().isHalfplane()) { // <=
neighbor = halfplane.next_31();
} else {
Log.error("problem in Delaunay_Triangulation");
// TODO fix added by GeoGebra
// should we do something else?
return null;
}
....
}
Let's see the warning:
V6003 The use of 'if (A) {...} else if (A) {...}' pattern was detected. There is a probability of logical error presence. DelaunayTriangulation.java 678, DelaunayTriangulation.java 680
We don't even need to figure out what happens to half-planes, because it's clear that the !halfplane.next_31().isHalfplane() check is missing.
public static ExpressionNode get(
ExpressionValue left, ExpressionValue right,
Operation operation, FunctionVariable fv,
Kernel kernel0
) {
....
switch (operation) {
....
case VEC_FUNCTION:
break;
case ZETA:
break;
case DIRAC:
return new ExpressionNode(kernel0, left, Operation.DIRAC, fv);
case HEAVISIDE:
return new ExpressionNode(kernel0, left, Operation.DIRAC, fv);
default:
break;
}
....
}
It seems that, in the second case, Operation.DIRAC should probably be replaced with Operation.HEAVISIDE. Or not? This method is called to obtain the derivative. After researching, we understand what HEAVISIDE is—the use of Operation.DIRAC for it is correct. What about the Dirac derivative? This one is a bit tricky to understand. We may trust the developers and suppress the warning. Still, it'd be better if they'd left any explanatory comment as they had done in some cases before.
case FACTORIAL:
// x! -> psi(x+1) * x!
return new ExpressionNode(kernel0, left.wrap().plus(1),
Operation.PSI, null)
.multiply(new ExpressionNode(kernel0, left,
Operation.FACTORIAL, null))
.multiply(left.derivative(fv, kernel0));
case GAMMA:
// gamma(x) -> gamma(x) psi(x)
return new ExpressionNode(kernel0, left, Operation.PSI, null)
.multiply(new ExpressionNode(kernel0, left, Operation.GAMMA,
null))
.multiply(left.derivative(fv, kernel0));
And we were motivated to conduct such research by the message of already favorite diagnostic V6067:
V6067 Two or more case-branches perform the same actions. Derivative.java 442, Derivative.java 444
On the one hand, this is an interesting case because we could have a false positive here. On the other, the warning would be useful either way, as it often highlights a genuine error. Regardless of the results, we need to check such code and either fix the error or write explanatory comments. Then the warning can be suppressed.
private static GeoElement doGetTemplate(Construction cons,
GeoClass listElement) {
switch (listElement) {
case POINT:
return new GeoPoint(cons);
case POINT3D:
return (GeoElement) cons.getKernel().getGeoFactory().newPoint(3, cons);
case VECTOR:
return new GeoVector(cons);
case VECTOR3D:
return (GeoElement) cons.getKernel().getGeoFactory().newPoint(3, cons);
}
return new GeoPoint(cons);
}
The warning isn't hard to guess:
V6067 Two or more case-branches perform the same actions. PointNDFold.java 38, PointNDFold.java 43
Instead of cons.getKernel().getGeoFactory().newPoint(3, cons) in the second case, cons.getKernel().getGeoFactory().newVector(3, cons) may have been intended. If we want to make sure of it, we need to go deeper again. Well, let's dive into it.
So, getGeoFactory() returns GeoFactory, let's look at the newPoint and newVector methods:
public GeoPointND newPoint(int dimension, Construction cons) {
return new GeoPoint(cons);
}
public GeoVectorND newVector(int dimension, Construction cons) {
return new GeoVector(cons);
}
It looks a bit strange. The dimension argument isn't used at all. What's going on here? Inheritance, of course! Let's find the GeoFactory3D inheritor class and see what happens in it.
@Override
public GeoVectorND newVector(int dimension, Construction cons) {
if (dimension == 3) {
return new GeoVector3D(cons);
}
return new GeoVector(cons);
}
@Override
public GeoPointND newPoint(int dimension, Construction cons) {
return dimension == 3 ? new GeoPoint3D(cons) : new GeoPoint(cons);
}
Excellent! Now we can admire the creation of four different objects in all their glory. We return to the code fragment with the possible error. For POINT and POINT3D, the objects of the GeoPoint and GeoPoint3D classes are created. GeoVector is created for VECTOR, but poor GeoVector3D seems to have been abandoned.
Sure, it's a bit strange to use a factory method pattern in two cases and call constructors directly in the remaining two. Is this a leftover from the refactoring process, or is it some kind of temporary solution that'll stick around until the end of time? In my opinion, if the responsibility for creating objects has been handed over to another class, it'd be better to fully delegate that responsibility.
@Override
final public void update() {
....
switch (angle.getAngleStyle()) {
....
case EuclidianStyleConstants.RIGHT_ANGLE_STYLE_L:
// Belgian offset |_
if (square == null) {
square = AwtFactory.getPrototype().newGeneralPath();
} else {
square.reset();
}
length = arcSize * 0.7071067811865; // <=
double offset = length * 0.4;
square.moveTo(
coords[0] + length * Math.cos(angSt)
+ offset * Math.cos(angSt)
+ offset * Math.cos(angSt + Kernel.PI_HALF),
coords[1]
- length * Math.sin(angSt)
* view.getScaleRatio()
- offset * Math.sin(angSt)
- offset * Math.sin(angSt + Kernel.PI_HALF));
....
break;
}
}
Where's the warning? There it is:
V6107 The constant 0.7071067811865 is being utilized. The resulting value could be inaccurate. Consider using Math.sqrt(0.5). DrawAngle.java 303
We found four instances of this code fragment. The more accurate value is 0.7071067811865476. Challenge yourself and try learning it by heart, hehe. The last three digits are omitted. Is it critical? The accuracy is probably enough, but using predefined constants or Math.sqrt(0.5)—as in this case—won't only help in recovering lost digits but also eliminate the risk of typos. Notice how the code readability will enhance. Perhaps when seeing 0.707... someone immediately understands what kind of magic number it is. However, sometimes we can do a little less magic just to enhance code readability.
Our little math journey is over. As we can see, even after tackling many geometric challenges, people may still make simple mistakes in code! Nice if the code is fresh, and developers can still keep their past intentions in mind. In such cases, people may understand what changes are needed if any, but after a long time it may be not so easy to recognize the necessity of fixing these issues.
So, the analyzer proves to be quite efficient right when writing code rather than running it once as I did. Especially now when we have tools like PVS-Studio analyzer at our disposal.
0