Prerequisite -
Introduction and types of RelationsRelations are represented using ordered pairs, matrix and digraphs:
- Ordered Pairs - In this set of ordered pairs of x and y are used to represent relation. In this corresponding values of x and y are represented using parenthesis.
Example: {(1, 1), (2, 4), (3, 9), (4, 16), (5, 25)}
This represent square of a number which means if x=1 then y = x*x = 1 and so on.
- Representing using Matrix - In this zero-one is used to represent the relationship that exists between two sets. In this if a element is present then it is represented by 1 else it is represented by 0. In this method it is easy to judge if a relation is reflexive, symmetric or transitive just by looking at the matrix.
Suppose R is a relation from X={x1, x2, .....xn} to Y={y1, y2....yn}
If A={1, 2, 3} and B={1, 2} and Relation R is R = {(2, 1), (3, 1), (3, 2)} then all corresponding value of Relation will be represented by "1" else "0". It is represented as:
It is represented by :-
M[i, j]={1, if (Xi, Yj) belongs to R
0, if (Xi, Yj) does not belong to R}
It's corresponding possible relations are: 
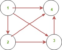
- Digraph - A digraph is known was directed graph. It consists of set 'V' of vertices and with the edges 'E'. Here E is represented by ordered pair of Vertices. In the edge (a, b), a is the initial vertex and b is the final vertex. If edge is (a, a) then this is regarded as loop. Example: Suppose we have relation forming
R = {(1, 2), (1, 3), (1, 4), (2, 3), (2, 4), (3, 4)}This relation is represented using digraph as: