From telling rickshaw-wala where to go, to tell him where to come we have grown up. Yes, we are talking about online cab and bike facility providers like OLA and Uber. If you had used this app some times then you must have paid some day less and someday more for the same journey. But have you ever thought what is the reason behind it? It is because of the high demand at some hours. this is not the only factor but this is one of them.
Ola Bike Ride Request Forecast using ML
In this article, we will try to predict ride-request for a particular hour using machine learning. One can refer to the below explanation for the column names in the dataset and their values as well.
season
- spring
- summer
- fall
- winter
weather
- Clear, Few clouds, Partly cloudy, Partly cloudy
- Mist + Cloudy, Mist + Broken clouds, Mist + Few clouds, Mist
- Light Snow, Light Rain + Thunderstorm + Scattered clouds, Light Rain + Scattered clouds
- Heavy Rain + Ice Pallets + Thunderstorm + Mist, Snow + Fog
casual - number of non-registered user rentals initiated
registered - number of registered user rentals initiated
count - number of ride request raised on the app for that particular hour.
Step 1: Importing Libraries and Dataset
Python libraries make it easy for us to handle the data and perform typical and complex tasks with a single line of code.
- Pandas - This library helps to load the data frame in a 2D array format and has multiple functions to perform analysis tasks in one go.
- Numpy - Numpy arrays are very fast and can perform large computations in a very short time.
- Matplotlib/Seaborn - This library is used to draw visualizations.
- Sklearn - This module contains multiple libraries are having pre-implemented functions to perform tasks from data preprocessing to model development and evaluation.
- XGBoost - This contains the eXtreme Gradient Boosting machine learning algorithm which is one of the algorithms which helps us to achieve high accuracy on predictions.
import numpy as np
import pandas as pd
import matplotlib.pyplot as plt
import seaborn as sb
from sklearn.model_selection import train_test_split
from sklearn.preprocessing import LabelEncoder, StandardScaler
from sklearn import metrics
from sklearn.svm import SVC
from sklearn.metrics import mean_absolute_error as mae
from sklearn.linear_model import LinearRegression, Lasso, Ridge
from sklearn.ensemble import RandomForestRegressor
import warnings
warnings.filterwarnings('ignore')
Now let's load the dataset into the panda's data frame and print its first five rows. You can download dataset from here.
df = pd.read_csv('ola.csv')
df.head()
Output:

Now let's check the size of the dataset.
df.shape
Output:
(10886, 9)
(10886, 9)Let's check which column of the dataset contains which type of data.
df.info()
Output:

As per the above information regarding the data in each column we can observe that there are no null values.
df.describe().T
Output:

Step 2: Feature Engineering
There are times when multiple features are provided in the same feature or we have to derive some features from the existing ones. We will also try to include some extra features in our dataset so, that we can derive some interesting insights from the data we have. Also if the features derived are meaningful then they become a deciding factor in increasing the model's accuracy significantly.
parts = df["datetime"].str.split(" ", n=2, expand=True)
df["date"] = parts[0]
df["time"] = parts[1].str[:2].astype('int')
df.head()
Output:

In the above step, we have separated the date and time. Now let's extract the day, month, and year from the date column.
parts = df["date"].str.split("-", n=3, expand=True)
df["day"] = parts[0].astype('int')
df["month"] = parts[1].astype('int')
df["year"] = parts[2].astype('int')
df.head()
Output:

Whether it is a weekend or a weekday must have some effect on the ride request count.
from datetime import datetime
df['datetime'] = pd.to_datetime(df['datetime'])
df['year'] = df['datetime'].dt.year
df['month'] = df['datetime'].dt.month
df['day'] = df['datetime'].dt.day
def weekend_or_weekday(year, month, day):
try:
d = datetime(year, month, day)
return 0 if d.weekday() > 4 else 1
except ValueError:
return np.nan
df['weekday'] = df.apply(lambda x: weekend_or_weekday(x['year'], x['month'], x['day']), axis=1)
df.head()
Output:

Bike ride demands are also affected by whether it is am or pm.
def am_or_pm(x):
if x > 11:
return 1
else:
return 0
df['am_or_pm'] = df['time'].apply(am_or_pm)
df.head()
Output:

It would be nice to have a column which can indicate whether there was any holiday on a particular day or not.
from datetime import date
import holidays
def is_holiday(x):
india_holidays = holidays.country_holidays('IN')
if india_holidays.get(x):
return 1
else:
return 0
df['holidays'] = df['date'].apply(is_holiday)
df.head()
Output:

Now let's remove the columns which are not useful for us.
df.drop(['datetime', 'date'],
axis=1,
inplace=True)
There may be some other relevant features as well which can be added to this dataset but let's try to build a build with these ones and try to extract some insights as well.
Step 3: Exploratory Data Analysis
EDA is an approach to analyzing the data using visual techniques. It is used to discover trends, and patterns, or to check assumptions with the help of statistical summaries and graphical representations.
We have added some features to our dataset using some assumptions. Now let's check what are the relations between different features with the target feature.
df.isnull().sum()
Output:

Now, we will check for any relation between the ride request count with respect to the day, time, or month.
features = ['day', 'time', 'month']
plt.subplots(figsize=(15, 10))
for i, col in enumerate(features):
plt.subplot(2, 2, i + 1)
df.groupby(col).mean()['count'].plot()
plt.show()
Output:

From the above line plots we can confirm some real-life observations:
- There is no such pattern in the day-wise average of the ride requests.
- More ride requests in the working hours as compared to the non-working hours.
- The average ride request count has dropped in the month of festivals that is after the 7th month that is July that is due to more holidays in these months.
features = ['season', 'weather', 'holidays',\
'am_or_pm', 'year', 'weekday']
plt.subplots(figsize=(20, 10))
for i, col in enumerate(features):
plt.subplot(2, 3, i + 1)
df.groupby(col).mean()['count'].plot.bar()
plt.show()
Output:

From the above bar plots we can confirm some real-life observations:
- Ride request demand is high in the summer as well as season.
features = ['temp', 'windspeed']
plt.subplots(figsize=(15, 5))
for i, col in enumerate(features):
plt.subplot(1, 2, i + 1)
sb.distplot(df[col])
plt.show()
Output:

Temperature values are normally distributed but due to the high number of 0 entries in the windspeed column, the data distribution shows some irregularities.
features = ['temp', 'windspeed']
plt.subplots(figsize=(15, 5))
for i, col in enumerate(features):
plt.subplot(1, 2, i + 1)
sb.boxplot(df[col])
plt.show()
Output:

We have outliers, let's check how much data we will lose if we remove outliers.
num_rows = df.shape[0] - df[df['windspeed']<32].shape[0]
print(f'Number of rows that will be lost if we remove outliers is equal to {num_rows}.')
Output:
Number of rows that will be lost if we remove outliers is equal to 6091.
We can remove this many rows because we have around 10000 rows of data so, this much data loss won't affect the learning for our model.
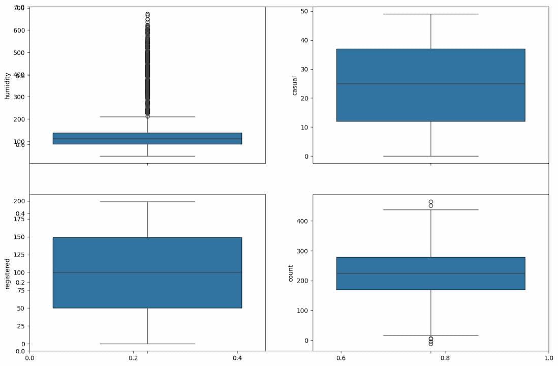
features = ['humidity', 'casual', 'registered', 'count']
plt.subplots(figsize=(15, 10))
for i, col in enumerate(features):
plt.subplot(2, 2, i + 1)
sb.boxplot(df[col])
plt.show()
Output:

Now let's check whether there are any highly correlated features in our dataset or not.
sb.heatmap(df.corr() > 0.8,
annot=True,
cbar=False)
plt.show()
Output:

Here the registered feature is highly correlated with our target variable which is count. This will lead to a situation of data leakage if we do not handle this situation. So, let's remove this 'registered' column from our feature set and also the 'time' feature.
Now, we have to remove the outliers we found in the above two observations that are for the humidity and wind speed.
df.drop(['registered', 'time'], axis=1, inplace=True)
df = df[(df['windspeed'] < 32) & (df['humidity'] > 0)]
Step 4: Model Training
Now we will separate the features and target variables and split them into training and the testing data by using which we will select the model which is performing best on the validation data.
features = df.drop(['count'], axis=1)
target = df['count'].values
X_train, X_val, Y_train, Y_val = train_test_split(features,
target,
test_size = 0.1,
random_state=22)
X_train.shape, X_val.shape
Output:
((4315, 12), (480, 12))
Normalizing the data before feeding it into machine learning models helps us to achieve stable and fast training.
scaler = StandardScaler()
X_train = scaler.fit_transform(X_train)
X_val = scaler.transform(X_val)
We have split our data into training and validation data also the normalization of the data has been done. Now let's train some state-of-the-art machine learning models and select the best out of them using the validation dataset.
models = [LinearRegression(), Lasso(), RandomForestRegressor(), Ridge()]
for i in range(len(models)):
models[i].fit(X_train, Y_train)
print(f'{models[i]} :')
train_preds = models[i].predict(X_train)
print('Training Error : ', mae(Y_train, train_preds))
val_preds = models[i].predict(X_val)
print('Validation Error : ', mae(Y_val, val_preds))
print()
Output:

The predictions made by all the model are fine and we can fine tune model to increase accuracy except RandomForestRegressor. In the case of RandomForestRegressor, there is a little bit of overfitting but we can manage it by hyperparameter tuning.
You can download source code from here.