Data Structure
Networking
RDBMS
Operating System
Java
MS Excel
iOS
HTML
CSS
Android
Python
C Programming
C++
C#
MongoDB
MySQL
Javascript
PHP
- Selected Reading
- UPSC IAS Exams Notes
- Developer's Best Practices
- Questions and Answers
- Effective Resume Writing
- HR Interview Questions
- Computer Glossary
- Who is Who
How to create a boxplot with outliers of larger size in R?
When we create a boxplot for a column of an R data frame that contains outlying values, the points for those values are smaller in size by default. If we want to increase the size for those outlying points then outlier.size argument can be used inside geom_boxplot function of ggplto2 package.
Consider the below data frame −
Example
set.seed(1231) x<-sample(LETTERS[1:4],20,replace=TRUE) y<-c(rnorm(19,5,1),10) df<-data.frame(x,y) df
output
x y 1 B 5.983562 2 A 4.571819 3 D 6.110019 4 A 4.074785 5 A 6.034136 6 B 5.351433 7 C 4.596340 8 C 3.375895 9 D 4.849060 10 A 4.723585 11 B 5.406556 12 A 6.254387 13 B 6.408786 14 C 5.386244 15 D 4.215608 16 A 4.576638 17 B 5.688985 18 B 3.839879 19 C 5.914120 20 B 10.000000
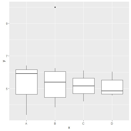
Loading ggplot2 package and creating boxplots for y values based on categories in x with default size of outliers −
Example
library(ggplot2) ggplot(df,aes(x,y,col=x))+geom_boxplot()
Output

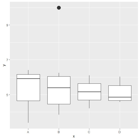
Creating the boxplots with larger size of outlier −
Example
ggplot(df,aes(x,y))+geom_boxplot(outlier.size=5)
Output

Advertisements