0% found this document useful (0 votes)
30 views7 pages

Diagnostic Test For Grade1 - To - Grade 8

The document outlines a diagnostic test for Grade 8 students, focusing on various mathematical skills including place value, rounding, divisibility, fractions, ratios, and operations with decimals. It includes specific tasks such as writing numbers in expanded form, rounding, testing for divisibility, and performing operations with fractions and decimals. The test is structured to evaluate students' knowledge and application of these skills across different levels of proficiency.

Uploaded by

mahinaz.sami
Copyright
© © All Rights Reserved
We take content rights seriously. If you suspect this is your content, claim it here.
Available Formats
Download as DOCX, PDF, TXT or read online on Scribd
0% found this document useful (0 votes)
30 views7 pages

Diagnostic Test For Grade1 - To - Grade 8

The document outlines a diagnostic test for Grade 8 students, focusing on various mathematical skills including place value, rounding, divisibility, fractions, ratios, and operations with decimals. It includes specific tasks such as writing numbers in expanded form, rounding, testing for divisibility, and performing operations with fractions and decimals. The test is structured to evaluate students' knowledge and application of these skills across different levels of proficiency.

Uploaded by

mahinaz.sami
Copyright
© © All Rights Reserved
We take content rights seriously. If you suspect this is your content, claim it here.
Available Formats
Download as DOCX, PDF, TXT or read online on Scribd
You are on page 1/ 7

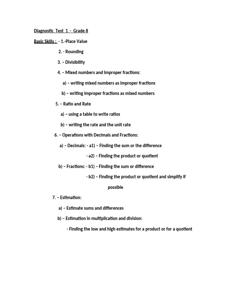
Diagnostic Test 1 - Grade 8

Basic Skills : - 1.-Place Value

2. - Rounding

3. – Divisibility

4. – Mixed numbers and Improper fractions:

a) – writing mixed numbers as improper fractions

b) – writing improper fractions as mixed numbers

5. – Ratio and Rate

a) – using a table to write ratios

b) – writing the rate and the unit rate

6. – Operations with Decimals and Fractions:

a) – Decimals: - a1) – Finding the sum or the difference

- a2) – Finding the product or quotient

b) – Fractions: - b1) – Finding the sum or difference

- b2) – Finding the product or quotient and simplify if

possible

7. – Estimation:

a) – Estimate sums and differences

b) – Estimation in multiplication and division:

- Finding the low and high estimates for a product or for a quotient
Skills Shows total Shows strong Shows Shows minimal
knowledge, knowledge, incomplete or no
instant recall, recall, and knowledge, knowledge,
and application of recall, and recall, or
comfortable skills application of application of
application of skills skills
skills
Level 4 Level 3 Level 2 Level 1
1.
2.
3.
4. a
4. b
5. a
5. b
6. a1
6. a2
6. b1
6. b2
7. a
7. b

Skills Answers all Answers most Answers few Answers most What is
questions questions questions questions needed
correctly, correctly, correctly, incorrectly,
clearly and in clearly and in clearly and in and without
detail detail detail detail
Level 4 Level 3 Level 2 Level 1
1.
2.
3.
4. a
4. b
5. a
5. b
6. a1
6. a2
6. b1
6. b2
7. a
7. b
Diagnostic Test of Skills - 1 . – grade 8

1. Write the number in expanded form

a. 56,934 = ___________+____________+_______+________+_________

b. 1403.529 =
________+_________+_________+______+_______+________+__________

2. Round the number to the place value of the underlined digit

a. 3465
b. 44.656
c. 24.743
d. 792.9989

3. Test the number for divisibility by 2, 3, 4, 5, 6, 8, 9, and 10

a. 44

b. 88

c. 385

d. 870
4. Write the mixed number as improper fraction:

1
a. 4
2

4
b. 2
5

4
c. 8
9

4
d. 9
7

5. Write the improper fraction as a mixed number:

12
a.
7
18
b.
4
21
c.
5

6. The table shows the number of cats and dogs owned by the students in the
seventh and eighth grades. Use the table to write the ratio.

cats dogs
th
8 grade 12 14
th
7 grade 11 15

a. Cats of 8th graders to cats of 7th graders


b. Dogs of 7th graders to dogs of 8th graders
c. Cats of 7th graders to cats of both grades
7. Write the rate and the unit rate.
a. $3.90 for 30 ounces
b. 250 miles in 4 hours

c. $4.50 for 30 minutes long distance

8. Find the sum or difference

a. 8.4 – 3.3 =
b. 38.6 + 4.7 =
c. 14.86 – 6.656 =
d. 475.67 + 89.44 =

9. Find the product or quotient

a. 2.3 × 6.7 =
b. 3.42 ÷ 3 =
c. 3.89 × 16 =
d. 2.1 ÷ 84 =

10. Find the sum or difference

1 4
a. + =
7 7

2 4
b. 1 + 3 =
3 9
7 4
c. - =
9 9

2
d. 4 - 1 =
3

2 1
e. 4 - 2 =
3 2

1 2
f. 5 - 3 =
4 3

11. Find the product. Simplify if possible.

1 2
a. × =
5 3

2 3
b. 4 × 1 =
3 4

2 3
c. 4 ÷ 1 =
3 4

4 2
d. ÷ =
9 21
12. Estimate the sum or difference

a. 5971 + 6032 + 7865 =


b. 68,453 – 32,792 =
13. Find a low and a high estimate for the product 56 × 35 using compatible
numbers.

14. Find a low and a high estimate for the quotient 23,400 ÷ 45 using compatible
numbers.

You might also like