- ggplot2 - Home
- ggplot2 - Introduction
- ggplot2 - Installation of R
- ggplot2 - Default Plot in R
- ggplot2 - Working with Axes
- ggplot2 - Working with Legends
- ggplot2 - Scatter Plots & Jitter Plots
- ggplot2 - Bar Plots & Histograms
- ggplot2 - Pie Charts
- ggplot2 - Marginal Plots
- ggplot2 - Bubble Plots & Count Charts
- ggplot2 - Diverging Charts
- ggplot2 - Themes
- ggplot2 - Multi Panel Plots
- ggplot2 - Multiple Plots
- ggplot2 - Background Colors
- ggplot2 - Time Series
- ggplot2 Useful Resources
- ggplot2 - Quick Guide
- ggplot2 - Useful Resources
- ggplot2 - Discussion
ggplot2 - Working with Axes
When we speak about axes in graphs, it is all about x and y axis which is represented in two dimensional manner. In this chapter, we will focus about two datasets Plantgrowth and Iris dataset which is commonly used by data scientists.
Implementing axes in Iris dataset
We will use the following steps to work on x and y axes using ggplot2 package of R.
It is always important to load the library to get the functionalities of package.
# Load ggplot library(ggplot2) # Read in dataset data(iris)
Creating the plot points
Like discussed in the previous chapter, we will create a plot with points in it. In other words, it is defined as scattered plot.
# Plot p <- ggplot(iris, aes(Sepal.Length, Petal.Length, colour=Species)) + geom_point() p
Now let us understand the functionality of aes which mentions the mapping structure of ggplot2. Aesthetic mappings describe the variable structure which is needed for plotting and the data which should be managed in individual layer format.
The output is given below −
Highlight and tick marks
Plot the markers with mentioned co-ordinates of x and y axes as mentioned below. It includes adding text, repeating text, highlighting particular area and adding segment as follows −
# add text
p + annotate("text", x = 6, y = 5, label = "text")
# add repeat
p + annotate("text", x = 4:6, y = 5:7, label = "text")
# highlight an area
p + annotate("rect", xmin = 5, xmax = 7, ymin = 4, ymax = 6, alpha = .5)
# segment
p + annotate("segment", x = 5, xend = 7, y = 4, yend = 5, colour = "black")
The output generated for adding text is given below −
Repeating particular text with mentioned co-ordinates generates the following output. The text is generated with x co-ordinates from 4 to 6 and y co-ordinates from 5 to 7 −
The segmentation and highlighting of particular area output is given below −
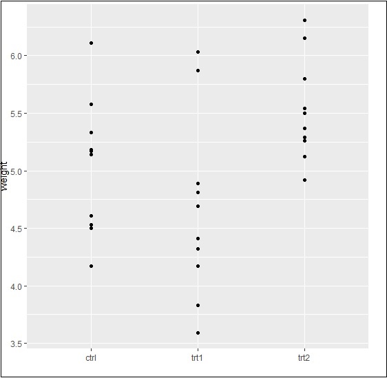
PlantGrowth Dataset
Now let us focus on working with other dataset called Plantgrowth and the step which is needed is given below.
Call for the library and check out the attributes of Plantgrowth. This dataset includes results from an experiment to compare yields (as measured by dried weight of plants) obtained under a control and two different treatment conditions.
> PlantGrowth weight group 1 4.17 ctrl 2 5.58 ctrl 3 5.18 ctrl 4 6.11 ctrl 5 4.50 ctrl 6 4.61 ctrl 7 5.17 ctrl 8 4.53 ctrl 9 5.33 ctrl 10 5.14 ctrl 11 4.81 trt1 12 4.17 trt1 13 4.41 trt1 14 3.59 trt1 15 5.87 trt1 16 3.83 trt1 17 6.03 trt1
Adding attributes with axes
Try plotting a simple plot with required x and y axis of the graph as mentioned below −
> bp <- ggplot(PlantGrowth, aes(x=group, y=weight)) + + geom_point() > bp
The output generated is given below −
Finally, we can swipe x and y axes as per our requirement with basic function as mentioned below −
> bp <- ggplot(PlantGrowth, aes(x=group, y=weight)) + + geom_point() > bp
Basically, we can use many properties with aesthetic mappings to get working with axes using ggplot2.